smile-ul.ru
smile-ul.ru
Найти
Smile-ul リップル
»
わかり やすく
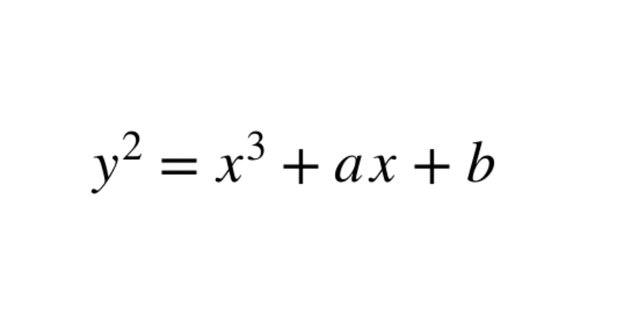
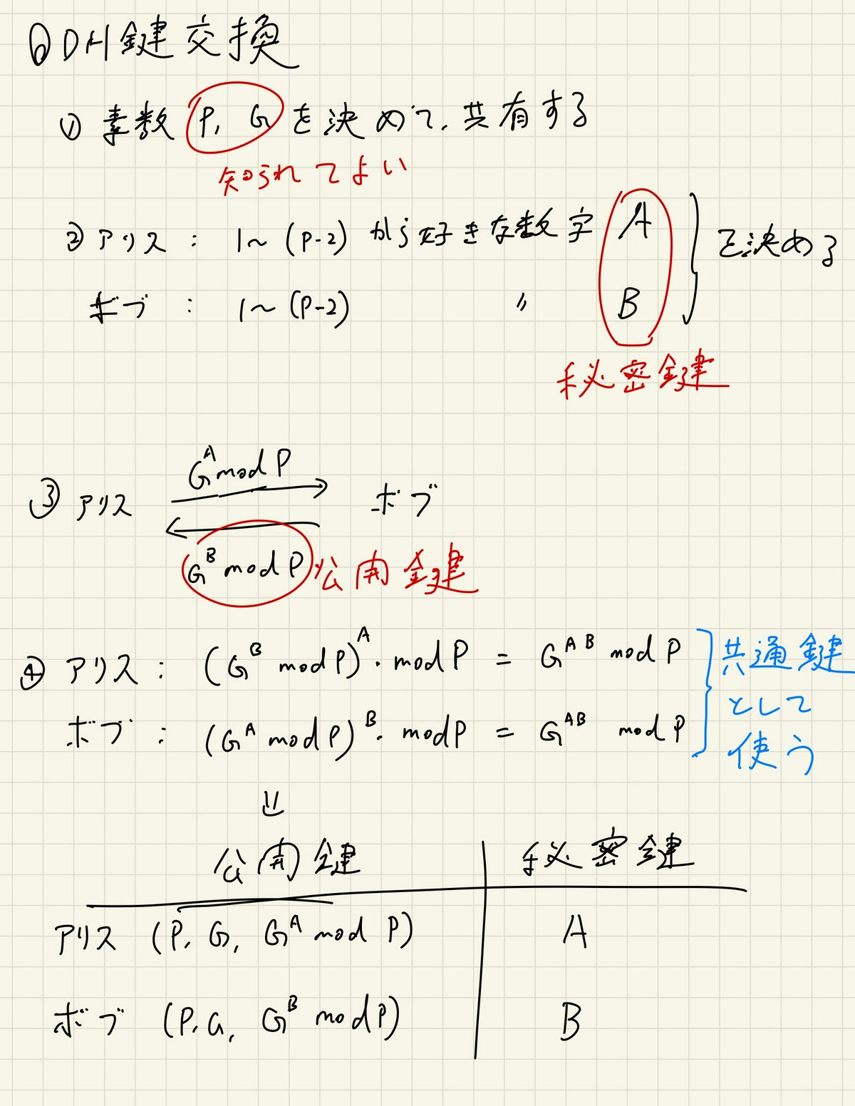
» 楕円 曲線 暗号 わかり やすく (91) 사진
楕円 曲線 暗号 わかり やすく (91) 사진
0
1
2
3
4
5
01 февраль
0
0
わかり やすく
Похожие статьи
バブル 景気 わかり やすく (97) 사진
中国 恒 大 わかり やすく (98) 사진
バブル 崩壊 と は わかり やすく (98) 사진
円建て ドル 建て わかり やすく (99) 사진
Cfd 取引 わかり やすく (99) 사진